conjugates worksheet math

Rationalize Denominators w/ Conjugates NO Prep Mini Lesson, Worksheets. 17 Pics about Rationalize Denominators w/ Conjugates NO Prep Mini Lesson, Worksheets : 6 5 Solving Square Root Equations Worksheet - Tessshebaylo, Complex Numbers - MathBitsNotebook (Algebra2 - CCSS Math) and also 3.14: Conjugate Addition - Chemistry LibreTexts.

Rationalize Denominators W/ Conjugates NO Prep Mini Lesson, Worksheets

Rationalize Denominators w/ Conjugates NO Prep Mini Lesson, Worksheets in.pinterest.com

denominators conjugates rationalize

Rationalizing The Denominator Worksheet Answers Kuta Software - Worksheet

Rationalizing The Denominator Worksheet Answers Kuta Software - worksheet novenalunasolitaria.blogspot.com

rationalizing denominator denominators imaginary answers worksheet kuta software

Rationalizing The Denominator Worksheet Pdf - Kidsworksheetfun

Rationalizing The Denominator Worksheet Pdf - kidsworksheetfun kidsworksheetfun.com

rationalizing denominator denominators radicals radical kidsworksheetfun exponents

6 5 Solving Square Root Equations Worksheet - Tessshebaylo

6 5 Solving Square Root Equations Worksheet - Tessshebaylo www.tessshebaylo.com

radical conjugates simplifying solving

Introduction To Conjugate Addition (28.3) - YouTube

Introduction to Conjugate Addition (28.3) - YouTube www.youtube.com

addition

3.14: Conjugate Addition - Chemistry LibreTexts

3.14: Conjugate Addition - Chemistry LibreTexts chem.libretexts.org

conjugate libretexts

30 Multiplying Complex Numbers Worksheet - Worksheet Project List

30 Multiplying Complex Numbers Worksheet - Worksheet Project List isme-special.blogspot.com

complex numbers worksheet computation multiplying worksheets

Complex Numbers - MathBitsNotebook (Algebra2 - CCSS Math)

Complex Numbers - MathBitsNotebook (Algebra2 - CCSS Math) mathbitsnotebook.com

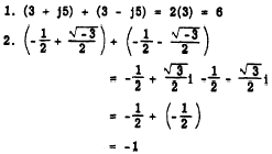
complex numbers mathbitsnotebook algebra2 conjugate bi math conjugates

Conjugates And Special Products

Conjugates and special products www.tpub.com

conjugate conjugates

3.14: Conjugate Addition - Chemistry LibreTexts

3.14: Conjugate Addition - Chemistry LibreTexts chem.libretexts.org

conjugate libretexts

Conjugates And Dividing Complex Numbers Matching Worksheet Answer Key

Conjugates And Dividing Complex Numbers Matching Worksheet Answer Key findworksheets.com

conjugates dividing chilimath conjugate

Imaginary Numbers Bingo By Lexie | Teachers Pay Teachers

Imaginary Numbers Bingo by Lexie | Teachers Pay Teachers www.teacherspayteachers.com

numbers imaginary bingo

How To Conjugate -have- Worksheet

How to conjugate -have- worksheet www.liveworksheets.com

conjugate worksheet finish

Conjugates In Complex Numbers Example 2 - YouTube

Conjugates In Complex Numbers Example 2 - YouTube www.youtube.com

complex

Some Properties Of Complex Numbers - High School Mathematics - 2

Some Properties of Complex Numbers - High School Mathematics - 2 www.kwiznet.com

complex math numbers properties kwiznet trivia worksheets

Additions And Conjuctions

Additions and Conjuctions diegomingles.blogspot.com

Regrouping Tens And Ones | First Grade Math Worksheets | Biglearners

Regrouping Tens and Ones | First Grade Math Worksheets | Biglearners www.biglearners.com

ones tens grade worksheets regrouping math worksheet biglearners addition

Denominators conjugates rationalize. Rationalizing denominator denominators imaginary answers worksheet kuta software. 30 multiplying complex numbers worksheet