fraction coefficient equations worksheet

Solving Systems of Equations by Substitution (examples, solutions). 17 Pictures about Solving Systems of Equations by Substitution (examples, solutions) : Math Example: Equations with Fractions: Example 02 | Media4Math, 5.4 Solve Equations with Fraction or Decimal Coefficients and also Fractional Coefficients Worksheet | Fraction Worksheets Free Download.

Solving Systems Of Equations By Substitution (examples, Solutions)

Solving Systems of Equations by Substitution (examples, solutions) www.onlinemathlearning.com

substitution elimination fractions simultaneous decimals algebra worksheets zufälliger onlinemathlearning

5.4 Solve Equations With Fraction Or Decimal Coefficients

5.4 Solve Equations with Fraction or Decimal Coefficients pressbooks.bccampus.ca

fraction decimal coefficients fractions

Literal Equations Worksheet | Literal Equations, Equations, Algebra

Literal Equations Worksheet | Literal equations, Equations, Algebra www.pinterest.com.mx

simplifying radicals algebraic radical

Solve A Polynomial Equation Getting Rid Of The Denominators - Tessshebaylo

Solve A Polynomial Equation Getting Rid Of The Denominators - Tessshebaylo www.tessshebaylo.com

fractions denominators algebra polynomial

12.15.2010 - Algebra 2 - Solving Equations Containing Fractional

12.15.2010 - Algebra 2 - Solving Equations Containing Fractional www.youtube.com

algebra fractional solving equations

A5a – Rearranging Formulas To Change The Subject – BossMaths.com

A5a – Rearranging formulas to change the subject – BossMaths.com www.bossmaths.com

rearranging subject bossmaths

* 64 ALGEBRA SOLVE FOR X FRACTIONS, X FOR SOLVE ALGEBRA FRACTIONS

* 64 ALGEBRA SOLVE FOR X FRACTIONS, X FOR SOLVE ALGEBRA FRACTIONS education-new2.blogspot.com

solve fractions algebra solving rational equations substituting answer sides both

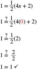
Math Example: Equations With Fractions: Example 02 | Media4Math

Math Example: Equations with Fractions: Example 02 | Media4Math www.media4math.com

media4math

Solving Systems Of Equations Worksheets With Three Variables

Solving Systems of Equations Worksheets with Three Variables www.mathworksheets4kids.com

equations systems variables three solving worksheet method any solve using worksheets

Fractional Equations Worksheets

Fractional Equations Worksheets www.mathworksheetscenter.com

equations fractional worksheets lesson basic

Algebra Equations - Two Step Equations

Algebra Equations - Two Step Equations www.algebra-class.com

equations algebra step solving problems class example fraction

Fractional Coefficients Worksheet | Fraction Worksheets Free Download

Fractional Coefficients Worksheet | Fraction Worksheets Free Download fractionworksheets.co

coefficients fractional finite implementing

Fractions In Equations Tutorial | Sophia Learning

Fractions in Equations Tutorial | Sophia Learning www.sophia.org

fractions

301 Moved Permanently

301 Moved Permanently jrh794.wordpress.com

partial fraction decomposition fractions calculator subtest integral trinomials factor way math cset multiple

MathsOnline Answers: Equations Involving Fractions

MathsOnline Answers: Equations Involving Fractions mathsonlineanswers.blogspot.com

equations involving fractions answers

Solve Equations With Fraction Or Decimal Coefficients – Prealgebra

Solve Equations with Fraction or Decimal Coefficients – Prealgebra opentextbc.ca

decimal coefficients

Solving Equations - Fractions - YouTube

Solving Equations - Fractions - YouTube www.youtube.com

Coefficients fractional finite implementing. Substitution elimination fractions simultaneous decimals algebra worksheets zufälliger onlinemathlearning. Fractional equations worksheets